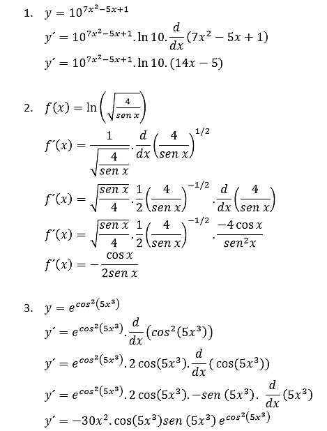
Reglas para derivar funciones exponenciales, logarítmicas y trigonométricas
Ejercicios
Derivar las
siguientes funciones:
Regla de la cadena en derivadas de funciones
trascendentes
Si
g es derivable en x y f es derivable en g(x), entonces la función compuesta
definida mediante F(x) = f(g(x)) es derivable en x, y F´ está dada por el
producto:
En
la notación de Leibniz, si y = f(u) y u = g(x) son funciones derivables,
entonces:






Comentarios